-
목차
경로 다양성 기반 교통분산모형(Route Diversity-based Flow Model)은 기존의 최단거리 또는 최단시간 경로 탐색에 의존하던 교통 흐름 예측 방식에서 탈피하여, 복수의 대체 경로(alternative routes)를 동시에 고려하고, 이들 간의 선택 가능성, 이용자 행태, 네트워크 구조 등을 반영하여 도시 교통의 분산 가능성과 흐름 재편 패턴을 정량적으로 모델링하는 이론적·계산적 체계다. 이 모형은 특히 교통혼잡 완화, 재난 시 대응, 유연한 경로 안내 시스템 구축, 스마트시티 교통 제어 등에서 핵심 역할을 하며, 전통적인 단일 경로 기반 수요-배분 방식보다 현실적이고 탄력적인 교통정책 설계를 가능하게 해준다.

1. 경로 다양성 개념과 기존 교통모형의 한계
기존의 교통 예측 모형은 보통 각 출발지–도착지(OD, Origin–Destination) 쌍에 대해 단일 최적 경로(optimal path)를 탐색하고, 해당 경로를 통해 모든 수요가 이동한다고 가정하는 방식이었다. 이러한 방식은 계산 효율성이 높고 해석이 간단하지만, 실제 이용자는 항상 동일한 경로만 선택하지 않으며, 교통 흐름은 혼잡, 날씨, 도로 상황, 개인 선호 등 다양한 요인에 따라 분산되는 경향을 보인다.
여기서 중요한 개념이 바로 ‘경로 다양성(Route Diversity)’이다. 이는 한 쌍의 OD 간에 존재하는 가능한 대체 경로의 개수, 품질, 상호 경쟁력, 이용자 선택확률 등을 통합적으로 고려한 지표이며, 다음과 같은 요소로 구성된다.
- 구조적 다양성: 도로망 상의 물리적 대체 경로의 개수 및 차별성
- 기능적 다양성: 경로 간 통행 시간, 통행 비용, 정체 위험도 등의 차이
- 인지적 다양성: 이용자가 실제로 인식하고 선택할 수 있는 경로의 폭
기존 모형의 한계는 이러한 경로의 존재와 선택 가능성 자체를 무시하거나 과도하게 단순화했다는 점이며, 이는 비정상 상황(예: 교통사고, 돌발 정체, 공사 등)에서 교통의 동적 재분산 가능성을 과소평가하는 결과를 초래해왔다.
2. 경로 다양성 기반 모형의 수학적 구조
경로 다양성 기반 교통분산모형은 복수의 경로에 대해 수요 분산 확률(probabilistic route choice)을 도입하고, 각 경로에 할당되는 통행량을 균형 또는 최적화 조건에 따라 산정한다. 이때 주로 활용되는 접근은 다음과 같다.
① 다경로 수요 배분 모형 (Multi-path Assignment Model)
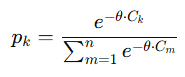
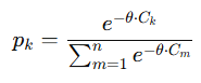
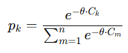
가장 대표적인 형태로, OD 쌍 i–j에 대해 k개의 경로가 존재할 경우, 각 경로 r_k에 대해 수요 q_{ij}가 다음처럼 분배된다

여기서 p_k는 k번째 경로의 선택 확률이며, 이는 일반적으로 다음과 같이 통행 시간, 비용, 혼잡 수준 등을 고려한 함수로 설정된다

- C_k: 경로 k의 일반화 비용(generalized cost)
- θ: 이용자의 민감도 파라미터 (클수록 최적경로에 쏠림 현상 발생)
② 엔트로피 기반 경로 분산 모형 (Entropy-Maximization Model)
이용자의 불확실한 경로 선택을 고려하여, 전체 경로 분산의 ‘엔트로피(entropy)’가 최대가 되도록 하는 방식이다. 이는 다음과 같은 최적화 문제로 정리된다

이 방식은 특히 이용자 다양성(heterogeneity)이 높은 도시 교통 환경에서 유효하며, 다수의 대체 경로 존재 시 특정 경로로의 집중 현상을 방지할 수 있다.
3. 모델 적용을 위한 입력 요소와 데이터 구조
경로 다양성 기반 모형을 구축하기 위해서는 다음과 같은 실질적 데이터가 필요하다
- 도로망 그래프 데이터(Network Topology): 링크, 노드, 회전 제약 등
- 실시간 및 평균 통행 시간 정보: 각 경로별 소요 시간 및 혼잡도
- 통행 수요 행렬 (OD Matrix): 시간대별 출발지–도착지 간 수요량
- 경로 다양성 계수 (Diversity Index): OD별 경로 대체가능성 계량 지표
- 개인화 통행행태 데이터: 네비게이션 앱, 교통카드, 통신기지국 기반
이러한 데이터를 기반으로, 다경로 선택 확률, 경로 간 상호의존성, 우회 가능성 등을 정량화할 수 있으며, 기존의 단일 경로 기반 시뮬레이션에 비해 비정형 상황과 불확실성에 더 강한 모델링이 가능해진다.
4. 도시 적용 사례: 런던과 서울의 비교
런던시 교통청(TfL)은 2019년부터 경로 다양성 기반 시뮬레이션 엔진을 도입하여, 주요 정체 발생 지점에서 사고, 공사, 돌발상황이 발생했을 경우, 통행 수요의 경로 재분배 가능성을 실시간으로 예측하고 대체 경로 안내 시스템에 반영하고 있다. 예컨대, ‘옥스퍼드 서커스’에서 사고 발생 시 3개 대체 노선을 동시에 예측하고, 각각의 경로에 대해 실시간 분산계수를 산정하여 이용자에게 차등적으로 안내한다.
서울시는 디지털 트윈 교통 시스템을 통해 특정 시간대의 교통 흐름을 재현하고, OD 쌍별로 평균 2.7개의 대체 경로를 추출하여, 교통정보 제공 서비스(T-map, 카카오내비)와 연동된 분산 유도 기능을 도입하고 있다. 또한, 혼잡 시간대에 특정 경로의 포화도를 기준으로 경로 유도 인센티브(마일리지 제공) 정책도 함께 시범 운영 중이다.
5. 정책적 활용과 전략적 시사점
경로 다양성 기반 분산모형은 단순히 수학적 모델에 그치지 않고, 도시 전체의 교통 정책 설계와 인프라 투자 우선순위 결정에 실질적으로 활용된다. 주요 시사점은 다음과 같다
- 신규 도로 계획 시, 기존 경로망의 다양성 계수와 보완성 분석 필요
- 혼잡통행료 부과 시 대체 경로 존재 여부를 정책 조건으로 고려
- 스마트 교통 안내 시스템의 실시간 분산 유도 알고리즘에 적용
- 재난 시 대피 경로 확보 및 교통 재분배 전략 설계에 필수
- MaaS 서비스의 경로 추천 엔진에 경로 다양성 요소 통합 가능
특히 자율주행차량이 대량 확산될 미래에는 개별 차량이 교통 전체 흐름에 미치는 영향력이 커지므로, 개별 경로 선택이 시스템 전체 안정성에 미치는 영향까지 고려한 ‘시스템 최적(system-optimal)’ 기반 설계가 요구된다.
6. 향후 발전 방향 및 기술적 연계
경로 다양성 기반 교통분산모형은 다음과 같은 방향으로 확장되고 있다
- AI 기반 선택 모델 강화: 강화학습을 통한 최적 경로 분산 학습 및 반영
- 개인화 추천 알고리즘 통합: 개인의 이동 패턴과 선호를 반영한 경로 다양성 가중치 조정
- V2X 통신 연계: 실시간 도로 상황에 따라 차량 스스로 분산 판단 수행
- 탄소배출 최소화 경로 분산 전략: 에코루트 분산을 위한 환경비용 기반 경로 다양성 평가
'전공' 카테고리의 다른 글
다목적 시뮬레이션 기반 정책평가 (Policy Evaluation with Multi-objective Simulation) (0) 2025.04.14 피크 수요 분산 설계(Peak Demand Redistribution Strategy) (0) 2025.04.12 실시간 신호 제어 알고리즘(Real-time Adaptive Signal Control) (0) 2025.04.11 모빌리티 탄력성 분석(Mobility System Elasticity Assessment) (0) 2025.04.10 V2V 기반 교통협력 제어시스템 (Cooperative V2V Control Algorithms) (0) 2025.04.09